一、方向一错,那就什么都错了!
《素数定理》的错误,主要是沿袭和继承了两千多年来人类研究素数采用传统的思维模式和方法,总是在不超过自然数N内研究素数的分布密度,讨论不超过N内的素数个数。比如人们总喜欢问:100里面有多少个素数?1000里面有多少个素数?…以此类推,十万、百万、千万…或更大数域里有多少个素数?人们都习惯认为,只要求出不超过自然数N内的素数个数 π(N),得出n(N)在自然数N内的比值π(N)/N,就是不超过N的素数分布密度,人类就获得了N内的素数分布信息,当今世界数学最大的未解之迷——黎曼猜想也力图追求π(N)的精确估计,去搜索素数分布的可靠信息,π(N)/N
果真能反应N内的素数分布密度吗?为了让读者理解素数分布密度的准确概念,我们还是从最古老的,也是最基本、最重要的算术基本定理谈起。
我们知道,素数是构成自然数的基本材料。除1以外的任意自然数,都可分解成若干素因子乘积的形式,这种分解是唯一的。这个结论称为算术基本定理。
通过算术基本定理,我们定义两个非常重要的概念;
定义1、一个素数如果是一个合数的素因子之一,则把这个合数叫做这个素数的素因子合数。
定义2、一个素数如果是合数的一个最小素因子,我们把这个合数叫做这个素数的基本素因子合数。
比如/133133=7×7×11×13×19,“133133”这个合数有5个素数因子,“133133”这个合数都可称为五个素数中任意一个素数的素因子合数,它们都重合在同一自然座标里,而“133133”最小素因子是唯一的,只有一个“7”才是“133133”唯一的基本素因子。“133133”这个合数就叫做“7”的基本素因子合数。
任意一个素数mn在自然数中产生无穷的素因子合数,表为N=mnk(k为自然数)
任意一个素数mn在自然数中产生无穷的基本素因子合数,表为N=mnk(k为不大于mn素数)
在自然数排列中,我们还总结、发现下面4个公理化结论:
结论1 任意自然数(1除外)至少有一个最小素因子。
结论2 素数在自然数中以自身数值等距离产生无穷的素因子合数。
结论3 数值小的素数,在自然数中产生的素因子合数分布密集;数值大的素数在自然数中产生的素因子合数分布稀疏,且越大越稀疏。
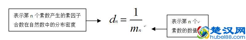
结论4 第n个素数mn产生的素因子合数在自然数中的分布密度dn与素数自身数值mn成反比,记作

检测一个素数与它无穷的基本素因子合数的关系,好比人类检测一个姓氏的祖先与他子孙后代DNA的血缘关系一样,在自然数中,我们只要搜索到自然座标有某个素数是这个自然数最小因子,就可立即断定,这个座标自然数就是这个素数的基本素因子合数。这个素数就是这个合数的直系先祖。(关于素数和素因子合数的关系,读者可参阅《n级素数周期表怎样从混沌走向有序》有更全面的介绍)。
定义1、2和四个公理化结论,描述了一个素数和它的无穷的素因子合数血浓于水的亲情关系。进一步说明,素数是构成自然数的基本材料,是产生自然数的源头。是素数生成了合数和自然数,没有素数,也就没有合数和自然数。因此一个区段素数的分布密度应当理解为:这个区段的素数(个数),产生了多少有血统关系的合数,或说是产生了有多少有血统关系的自然数,这才是研究素数分布密度的重要指标,才能获得科学合理的素数分布密度。这样的分布密度,才能排除那些没有血缘关系的素因子合数的游离、干扰和影响,反应素数在数域区间真实客观的疏密状态,才能确定素数研究的正确方向,要知道,是素数产生合数,也是素数产生自然数,而不是合数或自然数在N内产生了多少素数,《素数定理》研究方向违背了自然数生成原理,这是它的错误根源所在。
中国古代哲学家老子在道德经中说:“道生一,一生二,二生三,三生万物”。意思就是说,世上的万事万物都是由少到多,由简单到复杂的过程。因此,自然数中无论是多么大、多么复杂的素数和合数,都是最小素数“2”和“3”递推出来的。我将在另一篇文章中向读者介绍,如何运用“2”和“3”两个素数递推出要多大就有多大,要多少就有多少的素数(只要计算机容量许可),人们递推出来的数,无须再去验证,也无须用高深复杂的理论检测,你获得的数一定是100%的新生素数。这充分说明“1、2、3”是万源之本,由“2”和“3”出发,就可以递推出无穷无尽的素数合数和自然数,是“2”和“3”生成了越来越大的全体素数,而每一个素数又生成了一个无穷的素因子合数系统,无穷素数就生成无穷个素因子合数系统而形成自然数,这是自然数形成的路线、方向和原理。合数和自然数是构造不出素数来的。由于任意一个素数在自然数中,都会产生无穷的素因子合数,众多的中、小素数就会产生众多的素因子合数系统,它们混合交织在一起,虽然形同兄弟姊妹,实际却派系林立,各自出生于不同的来源渠道。《素数定理》在这个鱼龙混杂、混沌的自然数N内讨论区间素数的分布密度,必然遭遇中、小素数产生的素因子合数的干扰和影响,得不到正确的素数分布结论,无疑是一个错误的研究方向。方向一错,那就什么都错了!



相关阅读







