专业IT网络知识平台,分享IT百科知识、生活百科知识解答!

易企推科技
易企推科技
 白头蝰蛇毒性有多大(白头蝰蛇毒性极强瞬间让血凝固)

白头蝰蛇毒性有多大(白头蝰蛇毒性极强瞬间让血凝固)

蛇这种软体动物,相信是很多人害怕的动物。虽说不是张牙舞爪的野兽,但是其外表看上去就让人不敢靠近。咱们今天介绍的白头蝰蛇就是毒蛇中的一种,不管是在越南缅甸地区,或是咱们中国都能见到它的身影。那么,白头蝰蛇值多少钱呢?咱们来了解下! 一、白头蝰蛇生活习性 1.....[详细]
 中国人的健康状况分析及调查报告(国民健康大数据揭露中国人健康状况)

中国人的健康状况分析及调查报告(国民健康大数据揭露中国人健康状况)

我正处在人生最好的时候,我身上还带着经历过苹果、微软和谷歌打磨过的光环,投资人对我信赖有加,我在微博拥有五千多万粉丝 一切一切,几乎可以算得上是完美无缺了。可是,褪去光环,我此刻只是一个呼吸之间就会失去所有的病人。 这是李开复在患淋巴癌后,在抗癌期间.....[详细]
 装修后多久可以入住(装修后最快多久能入住)

装修后多久可以入住(装修后最快多久能入住)

家里装修完 恨不得分分钟住进去 然后那刺鼻的味道 全新的家具的油漆味 阻挡了我们的脚步 新房诚可贵 生命价更高啊 那么新房装修后 到底多久入住才安全呢 今天我们就来聊聊这个话题 一、最快7天 传说中 只要你使用了绝对安全环保的材料 7天就可以入住 但是我们普通人家.....[详细]
 中国最新科研成果简介(2019年中国十大科技科技成果)

中国最新科研成果简介(2019年中国十大科技科技成果)

2019年中国十大科技科技成果,令人心潮澎湃 2019年已经过去了一半了,科技界在今年都有哪些成绩呢?今天我们就来盘点一下2019年的十大科技趋势。 No.1 5G网络 不用多说,今年正是我国的5G元年,工信部已经正式发放了5G商用牌照,除了传统三大运营商外,这次中国广电也.....[详细]
 喀秋莎火箭炮威力多大(中国军队进口的喀秋莎火箭炮)

喀秋莎火箭炮威力多大(中国军队进口的喀秋莎火箭炮)

说起喀秋莎这首俄国歌曲,相信大家都听过,作者自己会唱。但是在二战期间,喀秋莎火箭炮堪称赫赫有名。当时,喀秋莎火箭炮几乎是德国军队的噩梦,尤其是步兵部队。其实喀秋莎火箭炮的作用,并不仅仅在二战期间,它影响了世界军事的发展方向。直到现在,各国军队都还装.....[详细]
 世界设计大会承办地区及时间(2019世界工业设计大会18日将于山东烟台召开)

世界设计大会承办地区及时间(2019世界工业设计大会18日将于山东烟台召开)

图片来源于烟台发布。 中国青年网烟台10月17日电(记者 靖强)10月17日下午,烟台市人民政府新闻办公室召开新闻发布会,宣布2019世界工业设计大会将于10月18日-20日在山东烟台召开,届时将有来自全球30多个国家和地区2000多家设计组织、机构、企业以及院校齐聚港城,围.....[详细]
 汽车上牌费用怎么算(新车上牌费用该如何计算呢)

汽车上牌费用怎么算(新车上牌费用该如何计算呢)

首先上牌需要准备这几样材料:身份证,汽车的合格证,汽车的购置税,保单,购车发票,这些材料基本都是4S店准备的,你只需要带上自己的身份证就行了。 上牌的流程,新车到达车管所后,先登记排队递交材料。工作人员会打开发动机罩,比对发动机号和车架号。检查无误上交.....[详细]
 手机中病毒的症状及防范(手机中病毒的八大“症状”)

手机中病毒的症状及防范(手机中病毒的八大“症状”)

我们经常会听到电脑病毒,其实 手机 也是有病毒的,在互联网时代下,我们的手机上存在大量的个人信息,手机一旦中病毒就会容易泄露隐私。 那么,我们自己该如何判断手机是否中了病毒呢?人中毒了会出现头晕、呕吐等不适症状,手机也是一样,会给我们发送不舒服的信号,.....[详细]
 华为海思处理器怎么样(海思麒麟CPU优缺点)

华为海思处理器怎么样(海思麒麟CPU优缺点)

1、华为基带没问题,相反从某个角度来看还是业界领先,全球首发cate4、cat6、cat12都是balong,毕竟华为是全球最大的通讯设备商,给自己的设备做配套,还有那么一点点基.....[详细]
 老年人怎样补钙效果最快吸收最好(老年人如何补钙吸收效果好呢)

老年人怎样补钙效果最快吸收最好(老年人如何补钙吸收效果好呢)

v补钙的时间要注意,最好饭后服用。吃完饭以后胃酸分泌是最充分的,钙在酸性环境中吸收率最高,一般建议在饭后0.5~1小时补充钙剂,且不要与奶制品同服 v用少量多次的方法比较靠谱。人体每次摄入钙低于或等于50毫克时,钙的吸收率最高。所以补钙时最好少量多次服用,这.....[详细]
 手势功能作用及用法技巧(6大手势操作功能)

手势功能作用及用法技巧(6大手势操作功能)

iOS 7不仅拥有全新的扁平化界面效果,手势操作功能也大幅加强,让你可以更高效地使用系统。下面便为大家介绍一下如何更高效地使用这些功能。 1. 控制中心和通知中心 首先,通知中心是之前便有的手势操作,从屏幕顶部向下滑动即可开启;而控制中心则是iOS 7中新增的一个.....[详细]
 打工子弟学校名单及现状(打工子弟学校何处去)

打工子弟学校名单及现状(打工子弟学校何处去)

2017年8月1日下午,一台挖掘机开进位于北京昌平区北七家镇东三旗村南部的智泉学校,在一小时内,校门、校长办公室、校舍都被拆掉。正前往医院看病的校长秦继杰多方寻求帮助无果,直至电话中传来拆迁完毕的消息。 7月底,是村里给出的腾退最后期限。此前村里已贴出公告.....[详细]
 守宫是什么动物(小众宠物之守宫)

守宫是什么动物(小众宠物之守宫)

为什么会养守宫呢??? 自己是个小众宠物爱好者。比较喜欢蜥蜴、蜘蛛和蜗牛,都是比较小众的宠物。现在告诉大家为什么会选择小众宠物。首先看你比较喜欢什么类型的。带羽毛的、冷血的、带毛的、不带毛的。。。。。。 首先,是你喜欢的类型是什么样。我是不太喜欢大家.....[详细]
 支付宝小程序怎么开发(如何快速开发支付宝小程序)

支付宝小程序怎么开发(如何快速开发支付宝小程序)

蚁哥导读 支付宝 小程序 自8月18日正式面向开发者公测以来,已有一批优秀的小程序开发者进驻。同一天,蚂蚁开发者大赛-支付宝小程序开发者大赛也正式对外开启报名。 支付宝小程序沉淀了支付宝多年的技术累积,在组件上采用了支付宝的 ant design 设计,在开放 API 上则.....[详细]
 二级路由器怎么设置(如何快速设置二级路由器上网)

二级路由器怎么设置(如何快速设置二级路由器上网)

家庭中有很多人感觉装了一个路由器,总觉得,WIFI信号不好又想在房里加多一个路由器当做二级路由器用,增加信号那么如何设置呢。 首先主路由器保持正常上网没问题,然后登陆从路由器管理界面-路由设置-找到LAN口设置-默认自动把它改为手动-填完好点击保存。 再返回路由.....[详细]
 星座月份对照表(十二星座月份表怎么算)

星座月份对照表(十二星座月份表怎么算)

星座文化在近些年来在我国越来越流行,据说流传至今的星座理论最早是从古代美索不达米亚人的研究中演变而来,所以这也属于是西方的一种文化。那么,接下来就让我们跟着十二星座来了解下十二星座的月份表吧。 白羊座:3月21日~4月19日 精力旺盛、活力充沛的星座。性格.....[详细]
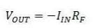
 带宽怎么计算(如何计算运算放大器带宽)

带宽怎么计算(如何计算运算放大器带宽)

互阻抗放大器是一款通用运算放大器,其输出电压取决于输入电流和反馈电阻器: 我经常见到图 1 所示的这款用来放大光电二极管输出电流的电路。几乎所有互阻抗放大器电路都需要一个与反馈电阻器并联的反馈电容器 (CF),用以补偿放大器反相节点的寄生电容,进而保持稳定性.....[详细]
 网络电视盒子哪个牌子好(网络机顶盒排名前十)

网络电视盒子哪个牌子好(网络机顶盒排名前十)

小编整理了目前现在市场上主流的,在品牌、性能、价格、口碑、服务、售后上相对出色的10个机顶盒!(个人观点仅供参考) 一、品牌:英菲克 英菲克i9八核价位299 八核芯片,也是现在市面上唯一一款八核机子价位在300以下的超高性价比的机子!采用全志H88核CPU,主频2.0G.....[详细]
 电脑文件夹加密怎么设置(电脑怎么给文件夹设置密码)

电脑文件夹加密怎么设置(电脑怎么给文件夹设置密码)

通过bat批处理文件设置密码 操作步骤: 1、首先找到需要设置密码的文件夹根目录下,鼠标右击空白处选择【新建】--【文本文档】。 2、然后双击打开新建的文档,粘贴代码,找到设置密码处【在此处设置密码】改成你的文件夹密码,然后保存退出。 3、接着更改文档名称为【.....[详细]
 怎么让头发长的快一点(让头发长得快一点的方法有哪些)

怎么让头发长的快一点(让头发长得快一点的方法有哪些)

男生一般都希望头发长得慢一些,而女孩则相反,女生都想拥有一头又长又黑的头发,飘逸又迷人,可是总觉得头发长得十分漫长,那有没有让头发能长得快的方法呢,这就需要日常对头发的护理了,下面跟小编一起来看看吧。 1、淘米水洗发: 用淘米水洗头据说也可以让头发长的.....[详细]