弹性模量越大说明什么(弹性模量和泊松比)轴向拉伸:
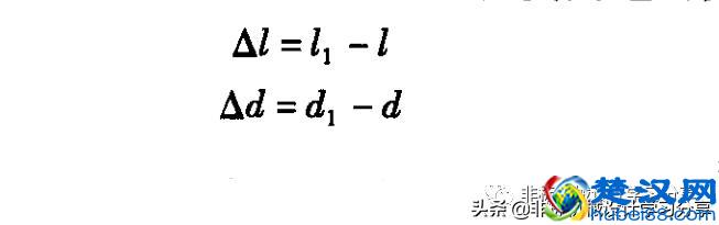
杆件沿轴线方向的变形称为轴向变形或纵向变形,垂直于轴线方向的变形称为横向变形。
杆的纵向绝对变形△l和横向绝对变形△d的计算公式:
杆件变形程度的衡量方法:
为了准确地反映变形程度,用单位长度内杆的变形及线应变来度量。
纵向线应变:
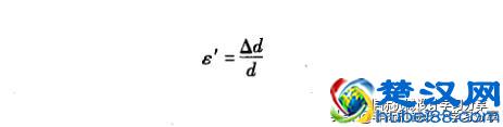
横向线应变:
线应变的符号规定:
线应变的符号以伸长为正,缩短为负。线应变没有量纲。
材料的泊松比:
当材料在线弹性范围内时,横向线应变和纵向线应变满足如下关系:
弹性模量E:
(1)正应力与纵向线应变之间的关系:
在材料线弹性范围内,正应力σ与相应的纵向线应变ε成正比,即:
注:上式称为胡克定律。
胡克定律的另一种表达式:
式中:
△l为杆的绝对变形,FN为轴力;l为杆长,A为横截面面积,E为材料的弹性模量。
注:由上式可知,当EA越大时,杆件的变形越小,EA值反映了杆件抵抗拉(压)变形的能力,称为杆件的抗拉(压)刚度。
例1:
如下图所示,某活塞杆可简化为等直杆,横截面为圆形,已知d=10mm,l1=l2=100mm,F=5kN,材料为45钢,其弹性模量E=210GPa,试求杆的总伸长量。
解:
1)计算各段轴力。
2)计算各段杆的变形量。
3)计算杆的总伸长量。
往期精彩推荐:
机械设计实用计算(3)之应力
没了它,全球的机器人和飞机坦克得趴下一多半
本文地址:问答解惑频道 https://www.hkm168.com/live/106485.html,易企推百科一个免费的知识分享平台,本站部分文章来网络分享,本着互联网分享的精神,如有涉及到您的权益,请联系我们删除,谢谢!



相关阅读







